Лазерная радиоволновая спектроскопия локализованных фотонов и квантово-нелокальные биоинформационные процессы
Авторы: И.В. Прангишвили, П.П. Гаряев, Г.Г. Тертышный, В.В. Максименко, А.В. Мологин, Е.А. Леонова, Э.Р. Мулдашев
Аннотация
Дано описание явления генерации лазерного широкополосного радиоволнового излучения (лМШЭИ) специальным оптическим квантовым генератором. Продемонстрировано, что лМШЭИ может лежать в основе поляризационно-лазерно-радиоволновой спектроскопии веществ. Механизм спектроскопии связан с неупругим рассеянием и локализацией фотонов в лазерных зеркалах и физико-математически формализован. Он отличается от традиционного комбинационного рассеяния фотонов. Спектр неупруго рассеянного света является непрерывным и занимает весь диапазон частот от ν до 0 (ν — частота рассеивающегося фотона). Для локализованных фотонов предложено модифицированное объяснение эффекта Эйнштейна–Подольского–Розена (ЭПР). Для мгновенной передачи (пермиссивной телепортации) сигнала вместо пары ЭПР-коррелированных фотонов достаточно наличия одного локализованного фотона. Показано, что лМШЭИ, считываемое с препаратов ДНК, несёт морфогенетические сигналы. У растений-реципиентов лМШЭИ ДНК вызывает модификации морфогенезов, а также способно вызывать регенерацию радиационно повреждённого генетического аппарата растений. Высказано предположение, что передача лМШЭИ от ДНК к растениям-реципиентам происходит путём пермиссивной телепортации.
Это пример спектра лМШЭИ полученный в лаборатории адарис.
лМШЭИ= Лазерное Модулированое Широкополосное Электромагнитное Излучение
Общие принципы работы лазерной установки, демонстрирующей явление перехода оптических фотонов в радиоволны
Ранее нами разработана лазерная установка, с помощью которой мы обнаружили явление перехода красных когерентных фотонов в радиоволны широкого спектра. Мы предложили предварительное объяснение этого явления [21]. Предлагаемое авторами настоящее исследование существенно дополняет ранее высказанные ими положения и является определённым этапом в теоретико-экспериментальном обосновании нового вида спектроскопии веществ — поляризационной лазерно-радиоволновой спектроскопии (ПЛР-спектроскопии).
Приоритет на патент от 06.01.1999 г. №99/01/Л (Федеральный институт промышленной собственности. Группа получающего ведомства РСТ. Старфилд, ЛТД).
Такая спектроскопия предназначена для исследования неизвестных ранее вращательно-колебательных квантово-молекулярных характеристик твёрдых, жидких, газообразных веществ, а также плазменных состояний. Предлагаемый вариант ПЛР-спектроскопии использует узкий оптический диапазон — красный свет, но в дальнейшем планируется использование более коротковолновых диапазонов видимой области.
Для целей ПЛР-спектроскопии был изготовлен специальный He-Ne лазер с генерацией двух ортогонально связанных по интенсивности оптических мод, которые могут между собой взаимодействовать таким образом, что сумма их интенсивностей остаётся неизменной. При взаимодействии хотя бы одной моды с веществом, отражённое или рассеянное излучение от которого возвращается в оптический резонатор, происходит перераспределение интенсивности этих оптических мод по закону изменения поляризации, соответствующей новому состоянию после взаимодействия луча с динамическими микрополяризаторами, находящимися в сечении освещаемой площадки исследуемого вещества.
Одна из мод лазера, при определённом режиме генерации, способна в процессе взаимодействия с веществом быть причиной излучения нашей установкой модулированного лМШЭИ, коррелированного с модуляциями в оптических модах излучения лазера. Эти модуляции зависят от вращательных колебаний микроструктурных компонентов (например, доменов кристаллов) исследуемых веществ и их оптической активности. Частотный интервал индуцированного лМШЭИ, в соответствии с теоретической моделью, лежит в диапазоне от 2 до 0. Максимум такого лМШЭИ располагается в районе 1 МГц.
Сигнал лМШЭИ после детектирования подаётся на АЦП компьютера со специальной программой обработки. На выходе регистрируется фурье-спектр лМШЭИ, характеризующий поляризационно-динамические свойства изучаемых веществ, с которыми взаимодействует один из лазерных лучей, а также спектральную память изучаемых веществ. Второй луч при этом возвращается в резонатор лазера для создания резонансного взаимодействия с атомными осцилляторами газовой смеси.
Данный лазер способен также генерировать, кроме основной (оптической) частоты, лМШЭИ широкого диапазона длин волн. Причиной этого явления, как мы полагаем, является неупругое рассеяние и локализация света основной лазерной моды на системе неоднородностей зеркал резонатора лазера. Механизм локализации (локализация в неупругом канале рассеяния) подробно описан ниже. В частности, выдвигается положение, что в резонаторе существует также и упруго рассеянный локализованный свет.
Генерируемое лазером лМШЭИ способно «считывать информацию», например, с препаратов ДНК. Механизм «считывания» напоминает механизм обычного индуцированного излучения. Возможность «открывать и закрывать» лазерный резонатор позволяет локализовать или «записать» в нём собственные «спектры» различных тестируемых объектов. лМШЭИ считывает и ретранслирует такие спектры. При этом был обнаружен эффект спектральной памяти: в течение определённого макроскопического времени воспроизводятся спектры лМШЭИ объектов, отражавших луч обратно в резонатор и затем удалённых из зоны экспозиции. Так были зарегистрированы спектры ДНК и выявлена их высокая биологическая активность, вероятно связанная с волновым типом переноса генетико-метаболической информации.
Экспериментальная часть
ПЛР-спектроскопия минералов и биоструктур. Эффект спектральной памяти
[РИСУНОК 1 — Схема эксперимента по записи ПЛР-спектра] Подпись: Рис. 1. Схема эксперимента по записи ПЛР-спектра.

На Рис. 1 представлена схема типичного эксперимента по записи ПЛР-спектра исследуемых веществ, например, кристаллических минералов.

[РИСУНОК 2 — ПЛР-спектр минерала апофиллита] Подпись: Рис. 2. ПЛР-спектр минерала апофиллита. Стрелками указана область развёртки спектра, приведённая на Рис. 2а.
[РИСУНОК 2а — Развёртка ПЛР-спектра минерала апофиллита] Подпись: Рис. 2а. Развёртка Поляризационно-Лазерно-Радиоволнового (ПЛР) спектра минерала апофиллита.




Частота дискретизации сигнала 44 кГц. Развёрнуты области 1550–1660 Гц, 1660–1760 Гц, 1760–1860 Гц. Видно, что эти области спектра имеют изоморфную структуру с различающимися амплитудами. Такой вид спектральной модуляции можно назвать гетерочастотной модуляционной фрактализацией.
[РИСУНОК 3 — ПЛР-спектр живого листа проростка пшеницы и спектральная память] Подпись: Рис. 3. Запись ПЛР-спектра живого зелёного листа проростка пшеницы и спектральная память на этот объект (частота дискретизации — 22 кГц).

На Рис. 3 представлен эксперимент с записью ПЛР-спектра живого зелёного листа проростка пшеницы и спектральной памятью на этот объект. До эксперимента, как и в случае со спектрами кристаллов турмалина и апофиллита, фиксировали фоновое лМШЭИ ПЛР-спектрометра, которое являлось типично шумовым, и амплитуда его экспоненциально снижается к 5000 Гц. Для живых листьев обнаруживаются характерные выраженные частотные области в районах 800–900 Гц, 1700–1900 Гц, 2400–2600 Гц и 3600–3800 Гц. После удаления проростков пшеницы ПЛР-спектрометр продолжает некоторое время генерировать лМШЭИ, характерное для листьев пшеницы. В этом проявляется спектральная ПЛР-память.
[РИСУНОК 4 — ПЛР-спектры высокополимерного препарата ДНК и его спектрального следа] Подпись: Рис. 4. ПЛР-спектры высокополимерного препарата ДНК из зобной железы телёнка (верхний спектр) и его спектрального «следа» на лазерных зеркалах (нижний спектр) после удаления препарата из зоны зондирующего лазерного пучка.

На Рис. 4 представлены ПЛР-спектры высокополимерного препарата ДНК из зобной железы телёнка и его спектрального «следа» на лазерных зеркалах после удаления препарата из зоны зондирующего лазерного пучка. Как и в случае минералов и листьев пшеницы, видна близость спектра препарата ДНК и спектра его «следа».
Биологическая активность ПЛР-спектров препаратов ДНК
Препараты ДНК, использованные нами для «записи» их ПЛР-спектров, через поляризационно-радиоволновую компоненту (ДНК-лМШЭИ) оказывают специфическое действие на биосистемы, в качестве которых мы использовали клубни картофеля, вызывая их аномально быстрое прорастание (до 1 см/сутки).
Также был трижды поставлен эксперимент (май 1999 г.) по воздействию ДНК-лМШЭИ на поражённые гамма-излучением семена растения Arabidopsis thaliana (L.) Heynh, собранные в зоне Чернобыльской АЭС в 1986–1987 годах.
Семена любезно предоставлены В.И. Абрамовым (Институт Общей Генетики РАН).
В типичном опыте из 3-х вариантов воздействия на семена (1 ч 30 мин, 1 ч 40 мин и 2 ч; мощность дозы 25 мР/час по гамма-излучению) ДНК-лМШЭИ в 2-х последних наблюдается увеличение всхожести семян по сравнению с двумя контролями (Р < 0,001). То есть из 300 и 200 посеянных семян в контроле проросли 2 и 4, а в опыте — 16 и 24. Однако при мощностях дозы выше 170 мР/час эффекта «оживления» семян не наблюдалось.
Это говорит о том, что лМШЭИ ДНК, полученное данным способом, обладает способностью восстанавливать генетический аппарат и в целом жизнедеятельность семян A. thaliana, но в ограниченных интервалах мощности дозы гамма-излучения. Существенно и то, что семена длительное время хранились (с 1987 по 1999 г.), что привело к их значительному старению, накладывающему дополнительный деструктивный фактор. Тем не менее «оживляющий» эффект наблюдается, и это говорит о том, что ДНК-лМШЭИ может нести в себе репаративную генетическую (метаболическую) информацию, что подтверждает наши ранние работы по волновым биознаковым репарирующим воздействиям на гамма-облучённые семена пшеницы и ячменя [17, 18].
Возможно, перенос и восприятие такой волновой информации семенами-акцепторами осуществляется по механизму квантовой нелокальности (телепортации), как мы предполагали ранее [5, 19], но в модификации (пермиссивная модель), предложенной в данном исследовании.
Уровни квантовой нелокальности в биосистемах
Предваряя теоретико-физический анализ предложенной модели телепортации, выскажем несколько суждений относительно значимости этой проблемы для генетики и биологии в целом. Биологические эксперименты, приведённые выше, можно предположительно толковать как демонстрацию переноса генетической информации от препаратов ДНК на биосистемы-реципиенты по механизму квантовой телепортации в пермиссивном варианте.
Представляется, что квантовая нелокальность генетической (хромосомной) информации является частным случаем. В действительности в биосистемах существует по меньшей мере шесть уровней нелокальности.
1-й уровень — организменный. Нелокальность здесь выражается в способности к регенерации, например у червей планарий. После разрезания таких червей любая часть их тела даёт при регенерации целый организм. Иными словами, в этом случае отсутствует привязка общего пула генетической информации к какой-то части биосистемы. То же относится к вегетативному размножению растений.
2-й уровень — клеточный. Из каждой клетки, а не только из зиготы, можно вырастить целый организм. Для животных биосистем это затруднено, но возможно. Каждая клетка — потенциальный континуум организма.
3-й уровень — клеточно-ядерный. Энуклеация ядер из соматических и половых клеток с последующим введением в них других ядер не препятствует развитию нормального организма. Клонирование такого рода уже осуществляют на высших биосистемах, например на овцах. Каждое клеточное ядро — также потенциальный континуум биосистемы.
4-й уровень — молекулярный. Рибосома «читает» информационную РНК не только по отдельным кодонам, но и всю её целиком с учётом контекста, то есть нелокально, континуально.
5-й уровень — хромосомно-голографический. Геном обладает голографической памятью [26], а это типично распределённая (нелокальная) ассоциативная память. На этом и последующих уровнях нелокальность приобретает новое качество, дуалистический вещественно-волновой характер, поскольку голограммы как вещество «прочитываются» электромагнитными и/или акустическими полями, выносящими гено-волновую информацию за пределы вещества хромосом.
6-й уровень — квантовая нелокальность генома. До 6-го уровня нелокальность генетической информации реализуется в пространстве организма. 6-й уровень имеет особый характер и новое качество. Оно проявляется в рамках одной из форм квантовой нелокальности — а именно пермиссивной, постулируемой в данной работе. В этом случае нелокальность реализуется как по пространству биосистемы, так и по её собственному, «сжимаемому» до нуля, времени.
Мгновенно распространяемые такими способами гено-волновые программы, изоморфные вещественным, работают в организме «здесь и там одновременно», поэтому утрачивает смысл семантическая конструкция «сначала и потом». Миллиарды клеток организма должны «знать» друг о друге если не всё, то очень многое, причём мгновенно. Без явления «волновой информационной мгновенности» гигантский многоклеточный континуум высших биосистем не способен целостно координировать метаболизм, свои физиологические и другие функции. Межклеточная диффузия сигнальных веществ и нервные процессы слишком инертны для этого.
Необходим механизм именно квантовой нелокальности, и он применим к генетическому аппарату, который может выступать как мгновенно распределённый квантовый (волновой) объект, изоморфный вещественным хромосомам [17, 18]. Используя нелокальность, генетический аппарат высших биосистем создаёт удивительное явление, когда в определённые моменты в «схлопнутом» пространстве-времени биосистемы «здесь и там», «сначала и потом» работают как неразрывность, обеспечивающая организмам суперкогерентность, информационную сверхизбыточность, связность и, как итог, целостность (выживаемость).
Проявлением этого, например, служит способность к регенерации органов и тканей у низших организмов (гидры, черви, амфибии, ящерицы, ракообразные) — способность, которая в значительной мере утрачена человеком. Но её можно активировать, учитывая развиваемые нами принципы волновой самоорганизации биосистем. Иллюстрацией этого служит первое в мире успешное приживление имплантированных слепому человеку донорских тканей с восстановлением зрения [25].
Вместе с тем теоретико-экспериментальные исследования здесь всё ещё носят начальный характер и нуждаются в физико-математическом осмыслении и развитии.
лМШЭИ от ДНК к растениям-реципиентам происходит путём пермиссивной телепортации.
Теоретическая часть
Локализация света в упругом канале рассеяния. Возможность записи и считывания информации, локализованной в пространственно скоррелированных неоднородных системах
В экспериментальной части данной работы мы привели результаты, свидетельствующие:
- о возможности считывания спектра собственных возбуждений некоторых кристаллов и биологических структур;
- о возможности долговременного хранения этой информации;
- о возможности последующего считывания и передачи этой информации.
Эксперименты проводили в радиодиапазоне при помощи устройства (ПЛР-спектрометр), описанного выше.
Здесь мы предлагаем одну из возможных теоретических интерпретаций этих экспериментов. В основе наших построений лежат идеи теории локализации света в дисперсных пространственно скоррелированных системах.
Явление локализации света получило широкую известность с 1985 года после работы [1]. Сейчас это одна из наиболее динамично развивающихся областей физики, тесно переплетающаяся с такими «модными» проблемами, как квантовая телепортация, новые методы записи и считывания информации и т. д. [6, 12, 13].

[РИСУНОК 5 — Схема эксперимента по наблюдению слабой локализации света] Подпись: Рис. 5. Схема эксперимента по наблюдению слабой локализации света.
В работе [1] исследовали отражение света от прозрачной кюветы, заполненной мельчайшими частицами латекса, взвешенными в воде, в условиях, когда длина волны падающего фотона сопоставима со средним расстоянием между частицами. На фоне френелевского отражения, строго в направлении назад наблюдался очень узкий пик интенсивности рассеянного света (Рис. 5). Сигнал превышал фоновое значение в 2 раза.
Для объяснения эффекта достаточно рассмотреть рассеяние на паре частиц, оказавшихся на пути фотона. Элемент траектории фотона, отразившегося в направлении строго назад, есть расположенная между парой частиц бесконечно узкая петля. Предположим, что эту петлю фотон может пройти двумя способами — по ходу вращения часовой стрелки и наоборот.

[РИСУНОК 6 — Два способа прохождения фотоном петли / разворот фотона между двумя частицами] Подпись: Рис. 6. а) Два способа прохождения фотоном петли на его траектории в условиях слабой локализации. б) Разворот фотона между двумя частицами.
Эти два способа неразличимы. В таких случаях квантовая механика предписывает вычислять вероятность P разворота фотона следующим образом. Каждому из процессов сопоставляется амплитуда вероятности a — вероятность разворота удваивается, поскольку обе амплитуды под знаком модуля имеют одинаковые фазы (в этом особенность движения по петле [14]). Если бы у нас была гипотетическая возможность различить эти способы, вероятность разворота была бы в два раза меньше. Такова формальная причина пика в направлении назад.
Нам очень бы хотелось, чтобы было два способа прохождения фотоном бесконечно узкой петли между двумя частицами. Этого можно достичь, если предположить, что топологическая размерность траектории фотона в условиях слабой локализации d < 1. Только в этом случае мы можем разместить внутри одной одномерной линии две разных «линии» — топологический объект, похожий на петлю, то есть характеризующийся двумя способами его обхода.

[РИСУНОК 7 — Ожерелье Антуана] Подпись: Рис. 7. Ожерелье Антуана.
Существует изящная математическая конструкция, которая с одной стороны очень похожа на то, что в физике называется линией или траекторией, а с другой — её топологическая размерность d действительно меньше единицы. Более того, d = 0. Речь идёт о так называемом цепочечном множестве Антуана [15]. Этот объект как нельзя лучше приспособлен и для описания процесса непрерывной генерации разномасштабных петель на траектории фотона.
Нульмерное множество Антуана (ожерелье Антуана) устроено следующим образом. На первом этапе рассматривается затравочная «толстая» замкнутая петля A₁. На втором — A₁ заменяется цепочкой менее «толстых» звеньев A₂, находящейся внутри A₁. Затем каждое звено A₂ заменяется цепочкой ещё более мелких звеньев A₃ ⊂ A₂ и т. д. Продолжая этот процесс, получим последовательность A₁ ⊃ A₂ ⊃ A₃ ⊃ … Пересечение этих множеств представляет собой нульмерное антуановское множество A.
Предположим, что траектория фотона в условиях сильной и слабой локализации является антуановским множеством с топологической размерностью d = 0. Если фотон движется по антуановской траектории, то покинуть это множество ему довольно трудно. Замена реального трёхмерного фотона нульмерным объектом приводит к сингулярному характеру распределения энергии вдоль траектории антуановского фотона. У такой траектории появляется своеобразная «механическая жёсткость». Переплетённые «жёсткие» звенья антуановского множества сопротивляются любой попытке расцепления.

[РИСУНОК 8 — Антуановские кольца на траектории фотона] Подпись: Рис. 8. Антуановские кольца на траектории фотона.

[РИСУНОК 9 — Переплетение антуановских колец] Подпись: Рис. 9. Переплетение антуановских колец.
Анализ ряда теории возмущений для фотонного пропагатора в системе частиц показывает, что имеются траектории, изоморфные множеству Антуана. В процессе своего движения кольца траектории могут переплетаться (Рис. 9). В свою очередь, каждая пропагаторная линия, из которых состоят переплетённые кольца Рис. 9, также есть набор переплетённых колец меньшего масштаба (Рис. 10). Так повторяется до бесконечности.

[РИСУНОК 10 — Структура пропагаторной линии антуановского кольца] Подпись: Рис. 10. Структура пропагаторной линии антуановского кольца.
Необходимым условием для локализации является очень сильная перенормировка, или уменьшение длины волны попадающего в систему фотона. Одним из объектов, где сильная перенормировка длины волны излучения в действительности возможна, является фрактальный кластер, состоящий из слабопоглощающих частиц-мономеров.

[РИСУНОК 11 — Удержание фотона между источником и детектором при упругом рассеянии на фрактальном кластере] Подпись: Рис. 11. Удержание фотона между источником и детектором при упругом рассеянии на фрактальном кластере.

[РИСУНОК 12 — Физические причины удержания фотона] Подпись: Рис. 12. Физические причины удержания фотона.
Причиной перенормировки являются дальнодействующие корреляции в расположении частиц фрактального кластера. Пусть падающий на кластер фотон с длиной волны порядка характерного размера кластера L улавливается какой-нибудь достаточно крупной полостью кластера (резонансной полостью). Это улавливание приводит к росту эффективной диэлектрической проницаемости кластера. Возрастание диэлектрической проницаемости инициирует уменьшение длины волны фотона. Фотон с перенормированной длиной волны находит другую полость, меньшего размера. Новое улавливание вновь стимулирует возрастание диэлектрической проницаемости и новое уменьшение длины волны и т. д. В результате все полости кластера могут оказаться заполненными перенормированными фотонами.
Мы ожидаем, что подобного рода эффекты — а именно локализация света — имеют место в системе скоррелированных зеркал устройства, описанного выше. Здесь локализация возможна между любой парой из большого числа всевозможных комбинаций зеркал.
Считывание и запись локализованного света
Спектр собственных возбуждений любой системы в немалой степени определяется её границей или поверхностью. Существует ли возможность «считать» характерные для такого рода возбуждений спектры и записать их на некотором носителе с целью длительного хранения и последующего прочтения?
При отражении фотона от плоской поверхности состояние его поляризации не меняется. Однако при отражении света от плоской пластины с двумя стенками ситуация меняется, если мы учитываем возможность локализации света между границами пластины. Подобного рода эффекты наблюдаются при рассеянии света в направлении строго назад в однородном ансамбле мельчайших частиц [11]. В этом случае поляризация отражённого света может измениться за счёт «вытаскивания» рассеянным назад фотоном фотона, локализованного в системе.
Этот эффект, совмещённый с вращательно-колебательными и поляризационными характеристиками изучаемых объектов, можно использовать для эффективного извлечения из объекта локализованных в нём его собственных возбуждений (его «спектра»). Рассмотрим схему, представленную на Рис. 1. Из конструкции стандартного лазера удалена полупрозрачная пластинка, расположенная под углом Брюстера к оси лазера. Это делается для того, чтобы не мешать свету, отражённому от кристалла и изменившему свою поляризацию в результате «вытаскивания» из кристалла локализованных фотонов, снова войти в резонатор.
Мы ожидаем, что эффективность «вытаскивания» локализованных фотонов окажется достаточно высокой для его экспериментального наблюдения. Далее эти делокализованные фотоны могут снова локализоваться, но уже в системе зеркал лазера. После этого мы убираем кристалл, но «спектр» его возбуждений, локализованный в лазере, как мы ожидаем, будет ещё какое-то время себя проявлять. Система будет воспроизводить спектральную память об объекте, который уже выведен из области экспонирования. Роль кристалла может выполнять любая система, в которой возможна локализация поля. Например, это могут быть биологические объекты, в частности генетические структуры, которые имеют фрактальную жидкокристаллическую упаковку. Вероятно, именно такого рода эффекты спектральной памяти наблюдались в наших экспериментах.
Локализованный свет и проблемы квантовой телепортации
Совершенно неожиданное приложение идеи локализации света находят в проблеме квантовой телепортации — мгновенной передаче послания на произвольно большие расстояния. Эта экзотическая область исследований, начиная с работ [2, 3], привлекает всё большее внимание физиков, а в последнее время и биологов.
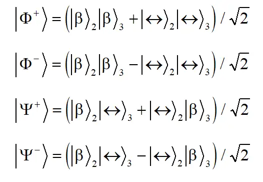
Любая волновая функция пары фотонов (фотон 2 и фотон 3), каждый из которых обладает двумя состояниями поляризации, может быть разложена по четырём базисным состояниям (по так называемым состояниям Белла), которые образуют полную ортонормированную систему функций [22].

Пары фотонов, описываемые состояниями Белла или их линейными комбинациями, называют обычно ЭПР-фотонами или перепутанными фотонами. До тех пор пока мы не поймём физическую причину мгновенных корреляций в свойствах этих фотонов, мы не поймём физику телепортации, несмотря на всю безупречность логических построений.

[РИСУНОК 14 — Схема эксперимента по считыванию, записи и хранению информации] Подпись: Рис. 14. Схема эксперимента по считыванию, записи и хранению информации.
К проблемам ЭПР-парадокса и телепортации можно подойти с позиций существования локализованного света. Что если регистрируемый акт прихода света в точку А связан вовсе не с рассеянным фотоном, а со сбитым из «трубки» АВ локализованным «длинным» фотоном? Мы «ловим» его левый «конец». Тогда в том, что в тот же самый момент времени происходит «регистрация» в точке В его «правого» конца, нет ничего странного. Никакого сверхсветового распространения сигнала не происходит, как не происходит и распространения сигнала вообще.
Предположим теперь, что никакого фотона, рассеивающегося на частице, нет, а есть «полость» между Алисой и Бобом, заполненная локализованным в ней фотоном. Алиса посылает в эту полость свой фотон. Этот фотон зацепляет по известному нам механизму локализованный фотон и предоставляет его Бобу. Таким образом, в результате действий Алисы Боб немедленно получает некоторую информацию.
Противоречит ли телепортация основам специальной теории относительности? Очевидно, нет. В рамках нашей модели вообще ничего не передаётся. Боб получает то, что уже находится рядом с ним, но до поры до времени ему недоступно. Информация уже предсуществует. Алиса мгновенно «разрешает» Бобу взять её. Поэтому такую модификацию квантовой телепортации (нелокальности) мы назвали пермиссивной (от английского «permission» — разрешение).
Надо отметить также, что такая нелокальность распространяется, видимо, и дальше, поскольку в нашем случае фотоны, промодулированные объектом, мгновенно (нелокально) превращаются в лМШЭИ, хранящее «фотонную поляризационную информацию». Возможно также, что в наших экспериментах зондирующие объект и интерферирующие встречные фотоны записывают динамичную поляризационную голограмму объекта, например ДНК, и превращают её в биоактивную радиоволновую, изоморфную фотонной, голограмму.
Генерация лМШЭИ при неупругом рассеянии света
В этом разделе мы качественно обсудим одну из возможных причин генерации лМШЭИ ПЛР-спектрометром. Речь пойдёт о новом механизме неупругого рассеяния света в электронных системах — в данном случае, в системе металлических слоёв зеркальных покрытий резонатора лазера, являющегося основным элементом спектрометра. Этот механизм отличается от традиционного комбинационного рассеяния фотонов. В отличие от дискретного набора стоксовских и антистоксовских пиков, спектр рассматриваемого неупруго рассеянного света является непрерывным и занимает весь диапазон частот от ν до 0, где ν — частота падающего фотона.

[РИСУНОК 15 — Классическая схема неупругого рассеяния фотонов] Подпись: Рис. 15. Классическая схема неупругого рассеяния фотонов.
Физика рассматриваемого неупругого рассеяния очень проста. Мы установим основные его закономерности на примере неупругого рассеяния с возбуждением объёмных и поверхностных плазмонов в малой металлической частице. Классический механизм неупругого рассеяния света частицей заключается в следующем. Подлетающий к частице фотон с энергией ℏω возбуждает в ней флуктуацию электронной плотности, сбрасывая на это часть своей энергии ℏΔω. Энергия вылетающего фотона ℏ(ω − Δω).

[РИСУНОК 16 — Предлагаемый механизм неупругого рассеяния фотонов] Подпись: Рис. 16. Предлагаемый механизм неупругого рассеяния фотонов.
Предлагаемый нами механизм принципиально иной. Предположим, что между источником излучения и детектором непрерывно «циркулирует» по замкнутой петле фотон, многократно обмениваясь сам с собой флуктуациями электронной плотности, возбуждаемыми в некоторой системе рассеивателей. Наш фотон бесконечное число раз обменивается энергией сам с собой в процессе неупругого рассеяния. В результате возникает своеобразное обменное взаимодействие фотона с самим собой, удерживающее его в «полости» между источником и детектором.
В рамках классического механизма возможен только дискретный сброс энергии падающего фотона. Что касается предлагаемого механизма, то красный сдвиг частоты падающего фотона может быть любым в интервале от 0 до ν. Если сброшенная частота попадает в радиодиапазон, результатом процесса является наблюдаемая экспериментально генерация лМШЭИ.
Наряду с «красным» смещением возможен и «голубой» сдвиг частоты фотона. Таким образом, спектр неупруго рассеянного света с учётом локализации должен занимать весь диапазон частот от 0 до ν. Подобного рода эффекты действительно наблюдаются в экспериментах по гигантскому комбинационному рассеянию света молекулами, адсорбированными на поверхности мельчайших металлических частиц — его называют «гигантский белый фон», и он до сих пор остаётся загадкой [27].
Процессы, описанные в данном разделе, качественно объясняют повышенный фон лМШЭИ рассматриваемого лазера. Количественный расчёт безусловно требует учёта специфики системы.
Сведения об авторах
Ивери Варламович Прангишвили — д-р техн. наук, акад. АН Грузии, директор ИПУ РАН
Петр Петрович Гаряев — д-р биол. наук, акад. Российской академии медико-технических наук (РАМТН), ст. н. с. ИПУ РАН
Георгий Георгиевич Тертышный — канд. техн. наук, зав. сектором ИПУ РАН
Владимир Викторович Максименко — канд. физ.-мат. наук, ст. н. с. НИФХИ
Алексей Вячеславович Мологин — аспирант ИПУ РАН
Екатерина Александровна Леонова — инженер ИПУ РАН
Эрнст Рифгатович Мулдашев — д-р мед. наук, директор Всероссийского центра глазной и пластической хирургии Министерства здравоохранения Российской Федерации
Литература
- Albada P. van, Lagendijk A. Observation of Weak Localization of Light in a Random Medium. Phys. Rev. Lett. 55, 1985, p. 2692–2695.
- Bennet C.H., Brassard G., Crepeau C., Jossa R., Peres A., Wootters W.K. Teleporting an unknown quantum state via dual classical and Einstein–Podolsky–Rosen channels. Phys. Rev. Lett., v. 70, p. 1895–1899 (1993).
- Bouwmeester D., Pan Jian-Wei, Mattle K., Eibl M., Weinfurter H., Zeilinger A. Experimental quantum teleportation. Nature, v. 390, p. 575–579 (1997).
- Einstein A., Podolsky B., Rosen N. Can quantum-mechanical description of physical reality be considered complete? Phys. Rev. 1935, v. 47, p. 777–780.
- Gariaev P., Tertishny G. The quantum nonlocality of genomes as a main factor of the morphogenesis of biosystems. 3th Scientific and medical network continental members meeting. Potsdam, Germany. May 6–9, 1999, p. 37–39.
- Lagendijk A., van Tiggelen B.A. Resonant Multiple Scattering of Light. Physics Reports, v. 270, p. 143–216, 1996.
- Lushnikov A.A., Maksimenko V.V., Simonov A.J. Electromagnetic Surface Modes in Small Metallic Particles. In: Electromagnetic Surface Modes, ed. by A.D. Boardman. J. Wiley, Chichester, 1982, pp. 305–345.
- Maksimenko V.V. Antoine’s Localization of Photon inside Fractal Cluster. Fractal in Engineering, Delft, Netherlands, 1999, p. 355–358.
- Maksimenko V.V. Localization of Light in Fractal Cluster. J. of Aerosol Science, v. 30, 1999, p. 287–288.
- Maksimenko V.V. Localization of Photon between Pair of Particles-2. Inelastic Scattering. J. of Aerosol Science, v. 30, 1999, p. 289–290.
- Максименко В.В., Крикунов В.А., Лушников А.А. Сильная локализация света в плотноупакованных гранулированных средах. ЖЭТФ, т. 102, 1992, с. 1571.
- Sheng P. (Ed.) Scattering and Localization of Classical Waves in Random Media. World Scientific. Singapore, 1990.
- Sheng P. Introduction to Wave Scattering, Localization, and Mesoscopic Phenomena. Academic, San Diego, 1995.
- Абрикосов А.А. Основы теории металлов. Наука. Москва, 1987, с. 183.
- Болтянский В.Г., Ефремович В.А. Наглядная топология. Москва, Наука, 1982, с. 84.
- Борен К., Хафмен Д. Поглощение и рассеяние света малыми частицами. Москва, Мир, 1986, с. 77.
- Гаряев П.П. Волновой генетический код. М. 1997. Издатцентр. 108 с.
- Гаряев П.П. Волновой геном. М. Общественная польза. 1994. 279 с.
- Гаряев П.П., Гарбер М.Р., Леонова Е.А., Тертышный Г.Г. К вопросу о центральной догме молекулярной биологии. Сознание и физическая реальность. 1999, Изд. ФОЛИУМ. Т. 4, №1, с. 34–46.
- Гаряев П.П., Тертышный Г.Г. Явление перехода света в радиоволны применительно к биосистемам. Сборник научных трудов. Академия медико-технических наук РФ. Отделение «Биотехнические системы и образование» при МГТУ им. Н.Э. Баумана. 1997, Выпуск 2. с. 31–42.
- Гаряев П.П., Тертышный Г.Г., Готовский Ю.В. Трансформация света в радиоволны. III международная конференция «Теоретические и клинические аспекты применения адаптивной резонансной и мультирезонансной терапии». «ИМЕДИС». Москва. 18–20 апреля 1997 г. с. 303–313.
- Кадомцев Б.Б. Динамика и информация. Москва, Редакция журнала «Успехи физических наук», 1999, 400 с.
- Ландау Л.Д., Лифшиц Е.М. Квантовая механика. Москва, Наука, 1974, 752 с.
- Лушников А.А., Максименко В.В. Квантовая оптика металлической частицы. ЖЭТФ, т. 103, 1993, с. 1010–1044.
- Мулдашев Э.Р. Комбинированная трансплантация глаза. Министерство здравоохранения Российской Федерации, Всероссийский Центр Глазной и Пластической Хирургии. «Аллоплант», 2000.
- Прангишвили И.В., Гаряев П.П., Тертышный Г.Г., Леонова Е.А., Мологин А.В., Гарбер М.Р. Генетические структуры как источник и приёмник голографической информации. Датчики и Системы, №2, 2000, с. 2–8.
- Ченг Р. и Фуртак Т. (редакторы) Гигантское комбинационное рассеяние. Москва. Мир, 1984, 408 с.

Комментариев нет